Khyber Medical College - Apply Now, Fees & Merit 2026
Information last updated: March 2026
KMC Peshawar in a Glance

KMC Peshawar Introduction
Khyber Medical College (KMC Peshawar) in Peshawar stands as the oldest and most prestigious medical institution in Khyber Pakhtunkhwa, established in 1954 to lead the development of medical education and healthcare services in the province. As a pioneering public-sector college, its legacy is built on a mission to produce physicians of the highest caliber who have gone on to become national and international leaders in medicine, surgery, research, and public health.
For over six decades, KMC Peshawar has served as the foundation of medical education in KP, shaping healthcare delivery across the region through its graduates who occupy key positions in hospitals, universities, and health administrations. Students exploring oldest and medical institution in khyber pakhtunkhwa will find KMC's distinguished history and enduring impact particularly compelling for their professional aspirations.
KMC Peshawar Historical Foundation and Provincial Leadership
Khyber Medical College's establishment in 1954 marked the beginning of formal medical education in Khyber Pakhtunkhwa, addressing a critical need for locally trained physicians to serve the province's population.
As the pioneering institution, KMC set the standards for medical education that subsequent colleges would follow, developing curricula, training faculty, and establishing clinical training systems that became models for the region.
The college's graduates formed the initial cadre of qualified physicians who built healthcare infrastructure across KP, creating a legacy of service and leadership that continues today. Those researching flagship public sector medical colleges in kpk will appreciate how KMC's foundational role shaped medical education throughout the province.
Building National and International Leaders
KMC Peshawar's mission extends beyond producing competent physicians to developing leaders who influence medicine at national and international levels. Graduates have distinguished themselves as professors at major universities, heads of prestigious medical institutions, researchers making groundbreaking contributions, and policymakers shaping health systems. This tradition of producing leaders continues, with current students benefiting from an environment that encourages excellence and ambition.
KMC Peshawar Premier University Affiliation and Accredited Program
Khyber Medical College is the flagship institution affiliated with Khyber Medical University (KMU), the province's premier health sciences university, serving as the standard-bearer for medical education across all KMU-affiliated colleges. This premier affiliation ensures KMC Peshawar's curriculum, examinations, and academic standards represent the highest benchmarks within the university system.
The college offers a five-year MBBS program that is fully recognized and accredited by the Pakistan Medical Commission (PMC), providing students assurance that their education meets rigorous national standards for professional practice. Students interested in latest admission in peshawar will find KMC's premier status particularly valuable for career development.
Integrated Modular Curriculum
The college follows the rigorous, integrated modular curriculum set by Khyber Medical University, which is consistently updated to reflect advancements in medical science and evolving healthcare needs. This curriculum integration ensures KMC students receive education that is current, comprehensive, and aligned with both national standards and international trends in medical education.
Highly Competitive Admission
Admission to Khyber Medical College is highly competitive, based strictly on merit through provincial and national testing systems. This selectivity ensures that admitted students represent the most academically talented applicants from across Khyber Pakhtunkhwa and beyond, creating a peer group that challenges and supports each other throughout medical training.
KMC Peshawar Clinical Training at Major Tertiary Care Hospitals
Khyber Medical College students receive their clinical education at some of the largest and busiest public hospitals in Khyber Pakhtunkhwa. The primary affiliated teaching hospitals are the Khyber Teaching Hospital (KTH) and the Lady Reading Hospital (LRH), both of which are major tertiary care and trauma centers serving vast populations from across the province and adjacent regions.
Unparalleled Clinical Exposure
This clinical arrangement provides students with unparalleled exposure to a high volume and extreme diversity of clinical cases, from common ailments to complex multi-system diseases and emergency trauma. Students encounter conditions rarely seen in smaller hospitals, building diagnostic acumen and clinical confidence through direct patient care involvement under supervision of experienced consultants. Students exploring clinical training at major tertiary care and trauma centers will recognize how this exposure distinguishes KMC Peshawar's clinical education.
Progressive Clinical Responsibility
Students rotate through departments progressively, starting with observation and basic skills development in early years and advancing to increased patient care responsibility as competence develops. This graduated approach ensures students build clinical confidence systematically, never facing expectations beyond current capabilities while continuously progressing toward independent practice.
KMC Peshawar Distinguished Faculty and Academic Excellence
Khyber Medical College is renowned for its highly distinguished faculty, comprising professors and consultants who are leading specialists and researchers in their fields. Many hold fellowships from international colleges and have trained abroad, bringing global perspectives to their teaching while maintaining deep understanding of local healthcare contexts.
Evidence-Based Medicine Emphasis
The educational methodology emphasizes evidence-based medicine, critical thinking, and extensive bedside clinical teaching that connects theoretical knowledge directly to patient care. Students learn to evaluate medical literature critically, apply research findings to clinical decisions, and reason through complex cases using scientific principles rather than rote memorization. Students interested in comprehensive medical college admission process nationwide will find KMC's academic rigor prepares graduates for leadership roles.
Intellectual Rigor Culture
The faculty's commitment to excellence fosters a culture of intellectual rigor and academic achievement that challenges students to reach their full potential. This environment produces graduates who are not merely competent but distinguished in their fields, capable of contributing to medical knowledge and practice throughout their careers.
KMC Peshawar Campus and Legacy Infrastructure
The Khyber Medical College campus is a landmark in Peshawar, preserving its historic legacy while maintaining functional academic facilities that support contemporary medical education. Lecture halls accommodate large-group instruction, laboratories enable hands-on scientific exploration, and a central library with vast collection provides access to medical literature spanning decades of medical knowledge.
Extensive Alumni Network
A significant feature of KMC is its extensive alumni network, organized through the KMC Peshawar Alumni Association, which is one of the most active and influential in Pakistan. This network provides current students with mentorship, resources, and connections to a strong professional community of graduates practicing across Pakistan and internationally.
The alumni association's engagement with the college ensures that students benefit from the experience and success of those who preceded them. Students exploring international full funding worldwide may find alumni connections particularly valuable for identifying international opportunities.
Professional Community Building
Through alumni events, mentorship programs, and networking opportunities, students begin building professional relationships that will support their careers long after graduation. This connection to a distinguished alumni community instills institutional pride and provides role models who demonstrate what KMC graduates can achieve.
Student Life and Holistic Development
Student life at Khyber Medical College is rich with tradition and activity, reflecting the institution's long history and vibrant community. Students manage and participate in numerous academic societies including the famous KMC Surgical Society, which provides opportunities for surgical skill development and exposure to surgical careers. Literary forums, sports teams, and annual cultural events create a well-rounded experience that complements rigorous academics.
Leadership and Camaraderie
The college atmosphere promotes not only academic competition but also leadership development, teamwork skills, and a deep sense of professional camaraderie that lasts a lifetime. Through organizing events, leading societies, and representing the college at university and national functions, students develop organizational abilities and confidence essential for medical leadership. Students interested in comprehensive medical student life at premier institution will appreciate how KMC's traditions enrich the educational experience.
Institutional Pride
Participation in KMC Peshawar's rich traditions and activities instills a deep sense of institutional pride that connects students to generations of graduates who came before them. This pride motivates students to uphold the college's standards of excellence and contributes to the strong alumni engagement that characterizes KMC Peshawar.
KMC Peshawar National Role and Enduring Impact
Khyber Medical College is more than an educational institute; it is a pillar of the national healthcare system that has been the primary source of physicians for Khyber Pakhtunkhwa and the former tribal areas for decades. Its graduates form the backbone of the health sector in the region, occupying key positions in hospitals, universities, and health administrations at all levels.
Driving Medical Education and Practice
KMC's enduring impact lies in its unmatched contribution to producing leaders who drive medical education, clinical practice, and health policy in Pakistan. Graduates serve as professors training the next generation of doctors, as hospital administrators shaping healthcare delivery, as researchers advancing medical knowledge, and as policymakers influencing health systems at provincial and national levels. Students exploring fully funded open scholarships in european countries may pursue international training, with many returning to apply global learning in Pakistani practice while contributing to KMC's legacy.
Shaping Health Policy
The influence of KMC graduates extends to health policy development, where alumni in government and administrative positions shape decisions affecting healthcare delivery across Khyber Pakhtunkhwa and Pakistan. This policy impact ensures that the college's educational philosophy and values influence healthcare systems far beyond the individual patients its graduates treat.
Why Choose Khyber Medical College KMC Peshawar
Prospective medical students evaluating options in Khyber Pakhtunkhwa will find compelling reasons to consider Khyber Medical College for their education. The combination of oldest and most prestigious status since 1954 establishing provincial leadership, flagship KMU affiliation ensuring premier curriculum standards, PMC accreditation validating program quality, clinical training at major tertiary care hospitals including KTH and LRH providing unparalleled exposure, distinguished faculty with international training fostering academic excellence, legacy campus with extensive alumni network supporting professional development, rich student life developing leadership and camaraderie, and enduring national impact creating opportunities for meaningful contribution forms an ideal environment for medical education.
Alignment with Professional Goals
For students who aspire to leadership in medicine and seek education at an institution with unmatched legacy and influence, KMC Peshawar provides philosophical alignment essential for sustained professional motivation. The college's tradition of producing physicians who shape healthcare at all levels resonates with those who envision careers of distinction and impact.
Career Pathways and Provincial Leadership
Graduates of Khyber Medical College emerge prepared for diverse career pathways including clinical practice in public and private sectors, postgraduate specialisation through CPSP fellowships, medical education as faculty at institutions nationwide, research advancing medical knowledge, health policy development, and international practice. As products of the province's premier medical institution, KMC graduates are sought after for leadership positions and consistently achieve distinction in their chosen fields.
Contribution to Healthcare Development
KMC fulfills its mission through graduates who serve communities across Khyber Pakhtunkhwa and beyond, addressing healthcare needs while advancing medical education and practice. Many alumni occupy key positions in the region's hospitals and universities, directly strengthening healthcare infrastructure while mentoring future generations of physicians.
Conclusion
Khyber Medical College Peshawar KMC Peshawar represents the foundation of medical education in Khyber Pakhtunkhwa, combining oldest and most prestigious status since 1954, flagship KMU affiliation, PMC accreditation, clinical training at major tertiary care hospitals, distinguished faculty with international training, legacy campus with active alumni network, rich student life, and enduring national impact.
Through its comprehensive MBBS program and commitment to producing physicians of the highest caliber, KMC Peshawar prepares graduates for leadership in medicine, surgery, research, and public health while maintaining its role as a pillar of the national healthcare system.
For students seeking medical education at an institution with unmatched legacy, influence, and tradition of excellence, Khyber Medical College offers an environment where academic rigor, clinical excellence, and professional leadership converge in preparation for serving humanity through medicine and shaping the future of healthcare in Pakistan.
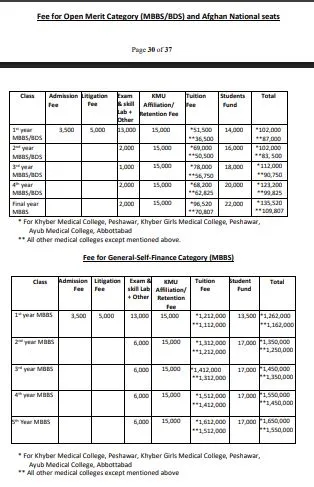
KMC MBBS Fee Structure
Note: The Pakistan Medical and Dental Council (PM&DC) has issued an official tuition fee alert for medical and dental colleges following recommendations by the Medical Education Committee constituted by the Prime Minister of Pakistan. For the academic session 2024–25, the tuition fee, including all ancillary charges, has been capped at PKR 1.8 million and will remain unchanged. For the 2025–26 session, a 5% increase has been approved, fixing the fee at PKR 1.89 million. Students and parents are advised not to pay fees beyond these limits, and any violations can be reported through the PM&DC complaint portal.


