KMU Institute of Med Sciences - Merit, Fee 2026, Apply Detail
Information last updated: March 2026
KIMS Kohat in a Glance

KIMS Kohat Introduction
Are you aspiring to pursue a medical career in one of Pakistan's emerging public sector institutions? The KMU Institute of Medical Sciences (KIMS) Kohat stands as a beacon of quality medical education in the southern region of Khyber Pakhtunkhwa.
Established under the prestigious Khyber Medical University, this institution is dedicated to producing competent physicians who will serve the healthcare needs of the province. For students seeking medical education opportunities in the garrison city of kohat, KIMS Kohat offers a comprehensive MBBS program with strong community focus and extensive clinical exposure.
KIMS Kohat Establishment and Public Service Mandate
The KMU Institute of Medical Sciences (KIMS Kohat) in Kohat is a public sector medical college established under the umbrella of Khyber Medical University (KMU). It was founded with a clear vision to decentralize quality medical education within Khyber Pakhtunkhwa and specifically address the healthcare needs of the southern and central regions of the province, including the strategically important Kohat division.
The institution's mission revolves around producing competent, community-oriented physicians who will serve in the public health system of KP. Students considering admissions in khyber pakhtunkhwa will find KIMS Kohat an excellent choice for pursuing their medical dreams while contributing to regional healthcare development.
The establishment of KIMS represents the government's commitment to expanding healthcare education beyond major metropolitan centers. By locating this institution in Kohat, authorities have ensured that students from less accessible areas can access quality medical training without needing to relocate to distant cities. This decentralization strategy is crucial for building a healthcare workforce that understands local health challenges and remains committed to serving their communities.
KIMS Kohat University Affiliation and Accredited Program
As a constituent college of Khyber Medical University (KMU), KIMS Kohat offers a five-year MBBS program that enjoys full recognition and accreditation from the Pakistan Medical Commission (PMC).
The curriculum follows the integrated modular system designed and mandated by KMU, ensuring standardization and alignment with national educational goals. This affiliation guarantees that the degree awarded is equivalent to those offered by other KMU constituent and affiliated colleges across the province.
The MBBS program at KIMS is structured to provide both theoretical knowledge and practical skills. Students progress through carefully designed modules that integrate basic sciences with clinical applications from early stages.
For those exploring top government medical institutions in khyber pakhtunkhwa, KIMS Kohat offers the assurance of a standardized curriculum backed by the academic rigor of Khyber Medical University. The program prepares graduates not only for clinical practice but also for postgraduate training and research opportunities.
KIMS Kohat Clinical Training at Khalid bin Waleed Teaching Hospital
The primary clinical training site for KIMS Kohat students is the Khalid bin Waleed Teaching Hospital (commonly known as KTH Kohat), a major public sector tertiary care hospital. This institution serves as the main referral center for the entire Kohat division and adjoining areas, providing students with extensive hands-on exposure to a diverse range of medical cases. The hospital handles high volumes of medical, surgical, pediatric, and obstetric cases, offering invaluable learning opportunities in a resource-conscious public hospital environment.
Clinical training at KTH Kohat begins early in the program, allowing students to develop practical skills alongside theoretical understanding. Bedside teaching sessions conducted by experienced clinicians help bridge the gap between classroom learning and real-world patient care. Students interested in medical colleges with strong clinical training in pakistan will appreciate the extensive exposure available at this teaching hospital, where they encounter a wide variety of disease patterns prevalent in the region.
KIMS Kohat Faculty and Community-Focused Education
The faculty at KIMS Kohat comprises both full-time academic staff in basic medical sciences and visiting clinicians who are practicing specialists at KTH Kohat. This blend of academic and clinical expertise ensures that students receive comprehensive instruction that connects foundational sciences with practical applications.
The institution's location and mandate heavily influence its educational philosophy, which strongly emphasizes community-based learning, practical skills development, and understanding of prevalent disease patterns in the region.
Community engagement forms a core component of the educational experience at KIMS. Students participate in health awareness activities and community visits as part of their learning process, gaining firsthand understanding of the healthcare challenges facing local populations.
This approach prepares graduates to work effectively in district and tehsil hospitals, where they will encounter similar conditions. For students seeking affordable public sector medical education in pakistan, KIMS Kohat offers the dual benefit of quality instruction and meaningful community engagement.
KIMS Kohat Campus and Student Facilities
The KIMS Kohat campus in Kohat provides essential academic infrastructure designed to support effective learning. Facilities include well-equipped lecture theaters, modern laboratories for basic sciences, and a dissection hall for anatomy instruction.
A central library supports student learning with access to textbooks, reference materials, and academic journals. These facilities create an environment conducive to focused study and academic achievement.
A key feature of the institution is the provision of hostel accommodations for both male and female students. These residential facilities are crucial for creating a vibrant academic community and enabling students from distant districts to pursue their education without relocation concerns.
The hostels foster interaction among students from diverse backgrounds, contributing to personal growth and lasting friendships. Students exploring admissions in public sector medical colleges of pakistan will find the residential facilities at KIMS Kohat particularly attractive for creating a supportive learning environment.
KIMS Kohat Student Life and Provincial Context
Student life at KIMS Kohat is integrated with the socio-cultural context of the region, offering a unique educational experience that extends beyond classroom learning. While academic societies and extracurricular activities exist, the overall experience is closely tied to the college's role within the local community. Students often engage in health awareness campaigns and community outreach programs, which form an integral part of their professional development.
This environment fosters a strong sense of purpose among students, many of whom hail from Khyber Pakhtunkhwa and are motivated to serve their home communities. The residential nature of the campus creates opportunities for cultural exchange and mutual learning among students from different districts. For those considering medical education opportunities in provincial capitals and regional cities, KIMS Kohat offers an authentic experience that combines academic rigor with meaningful community connection.
KIMS Kohat Strategic Role in KP's Healthcare Expansion
KIMS Kohat represents a strategic component of Khyber Pakhtunkhwa's healthcare expansion plan. By establishing a quality medical college and utilizing an existing major public hospital for training, the government aims to increase local production of doctors for the southern region. This approach helps reduce regional disparities in healthcare access and builds a sustainable, localized workforce capable of staffing district and tehsil hospitals throughout the province.
The strategic importance of this institution extends beyond immediate educational outcomes. By training doctors who understand local health challenges and remain committed to serving in their home regions, KIMS Kohat contributes to long-term improvements in healthcare delivery across Khyber Pakhtunkhwa. Students interested in scholarships for students in pakistan should explore financial support options that may be available through provincial government programs designed to encourage service in underserved areas.
KIMS Kohat Admission Process and Eligibility Criteria
Prospective students seeking admission to KIMS Kohat must meet the eligibility criteria established by Khyber Medical University and the Pakistan Medical Commission. Candidates typically need to have completed FSc Pre-Medical with at least 60% marks, though exact requirements may vary annually. Admission is granted through the centralized merit system managed by the Educational Testing and Evaluation Agency (ETEA) for Khyber Pakhtunkhwa, which conducts entrance tests and prepares merit lists based on academic scores and test performance.
The competitive nature of medical admissions in Pakistan means that aspiring students must prepare thoroughly for entrance examinations. Those seeking medical college admissions in kpk should monitor official announcements regarding application deadlines, test dates, and merit criteria. Early preparation and careful attention to documentation requirements can significantly improve chances of securing a seat in this prestigious institution.
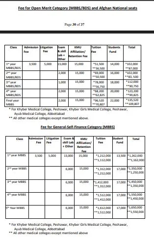
KIMS Kohat Fee Structure and Financial Considerations
As a public sector institution, KIMS Kohat offers medical education at a fraction of the cost charged by private medical colleges. The fee structure is determined by the government and remains affordable for students from middle-income families. This accessibility aligns with the institution's mission to produce doctors who will serve in the public health system without being burdened by excessive educational debt.
Students requiring financial assistance may explore various educational funding options for pakistani students, including need-based scholarships, merit awards, and government loan programs. The provincial government occasionally announces special scholarships for students from specific districts or underrepresented areas, further enhancing access to medical education for deserving candidates from all backgrounds.
Why Choose KIMS Kohat for Your Medical Education
KIMS Kohat offers a compelling combination of quality education, extensive clinical exposure, and affordable fees that distinguishes it from many other medical institutions. Students benefit from the academic resources of Khyber Medical University while enjoying the personalized attention possible in a focused campus environment. The clinical training at KTH Kohat provides exposure to diverse medical cases that prepares graduates for real-world practice.
The institution's commitment to community-oriented medical education ensures that graduates emerge not only as competent clinicians but also as healthcare professionals sensitive to the needs of underserved populations. For students who envision themselves serving in public health systems or working in community healthcare settings, KIMS Kohat provides ideal preparation. Those exploring medical colleges in pakistan with community focus will find this institution's approach particularly aligned with their professional aspirations.
Conclusion
The KMU Institute of Medical Sciences (KIMS) Kohat represents a significant advancement in Khyber Pakhtunkhwa's efforts to expand quality medical education and healthcare services. With its strong affiliation with Khyber Medical University, extensive clinical training at Khalid bin Waleed Teaching Hospital, and commitment to community-oriented education, the institution prepares graduates well for the challenges of modern medical practice.
The affordable fee structure and residential facilities make it accessible to students from diverse backgrounds, while the strategic location serves the healthcare needs of southern KP.
For aspiring medical students seeking a meaningful educational experience that combines academic excellence with community service, KIMS Kohat offers an exceptional opportunity. As the institution continues to develop and expand its programs, it will undoubtedly play an increasingly important role in shaping the future of healthcare in Khyber Pakhtunkhwa and beyond.
Students interested in applying should begin their preparations early, monitor official announcements, and ensure they meet all eligibility requirements for this distinguished institution.
KIMS MBBS Fee Structure
Note: The Pakistan Medical and Dental Council (PM&DC) has issued an official tuition fee alert for medical and dental colleges following recommendations by the Medical Education Committee constituted by the Prime Minister of Pakistan. For the academic session 2024–25, the tuition fee, including all ancillary charges, has been capped at PKR 1.8 million and will remain unchanged. For the 2025–26 session, a 5% increase has been approved, fixing the fee at PKR 1.89 million. Students and parents are advised not to pay fees beyond these limits, and any violations can be reported through the PM&DC complaint portal.



